Российские ученые рассказали, как можно остановить свет


Фотоны — частицы света — в отличие от обычных частиц, из которых состоят все окружающие нас объекты, не имеют массы. Теория относительности гласит, что из-за этого единственная скорость, с которой они могут двигаться в пространстве, — скорость света, а находиться в состоянии покоя безмассовые частицы вообще не способны.
Исследователи из СПбГУ, ФТИ им. А.Ф. Иоффе и Ганноверского университета им. Лейбница создали математическую модель, которая описывает условия и процесс остановки света.
«Эта удивительная ситуация может происходить, если фотоны движутся в определенных нелинейных средах, которые называют резонансными. Они обладают собственным свечением с такой же частотой, какую имеют попадающие на них фотоны. Благодаря этому колебания света поглощаются частицами среды, что приводит к передаче большого количества энергии от света материи. Одновременно возможен и обратный процесс передачи энергии от вещества свету», — комментирует Николай Розанов, известный отечественный специалист в области лазерной физики и нелинейной оптики, член-корреспондент РАН и главный научный сотрудник ФТИ имени А. Ф. Иоффе и СПбГУ.
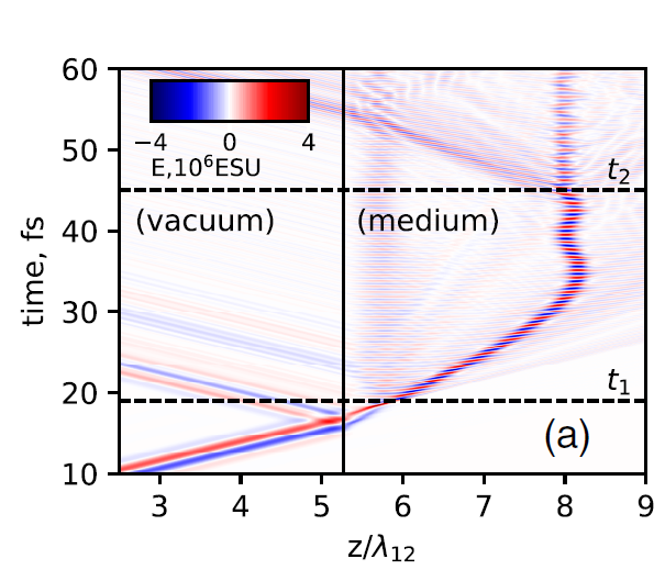
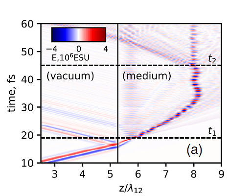
Авторы исследовали остановку фотонов на примере импульсов света крайне малой длительности — их могут излучать современные лазерные системы. Оказалось, что, проходя через резонансно поглощающую среду, частицы тесным образом начинают взаимодействовать с ней, формируя сильно связанные состояния возбужденной материи и света, которые можно рассматривать как некоторую новую частицу. Так, среда, обволакивая свет, создает «одетые фотоны», которые за счет такой «шубы» из вещества приобретают массу. Далее подобные образования могут вести себя по-разному: или продолжить двигаться в изначальном направлении с высокой скоростью (вплоть до скорости света), или изменить направление, или полностью остановиться. Поведение частицы зависит от ее энергетического состояния: иногда ей может быть более выгодно снизить скорость до нуля.
«Столь необычный эффект, который мы описали, пока представляет интерес с точки зрения академической науки. Световой импульс застревает в среде, не доходя до наблюдателя; в зависимости от некоторых параметров, он способен застревать на заданном расстоянии от границы среды. Это может иметь некий практический интерес: например, благодаря такому эффекту возможно нацелить свет на определенные объекты, расположенные внутри среды. Добавим, что здесь нет противоречий с фундаментальными физическими законами: речь идет о скорости движения светового импульса, в котором происходит активное поглощение света веществом и потом его испускание, а не о движении фотонов в пустом пространстве, которое всегда происходит со скоростью света», — рассказывает руководитель проекта по гранту РНФ Ростислав Архипов, кандидат физико-математических наук, ведущий научный сотрудник физического факультета СПбГУ.
Наука
Российский научный фонд